上海研纷生化科技有限公司欢迎您!2024年元月,公司网站新版上市,我们将继续为全球新老客户提供优质、便捷的服务。
我的订单
我的收藏
EN
搜索
我的购物车(
0
)
Toggle navigation
全部商品分类
氨基酸及多肽片断
保护氨基酸
丙氨酸(Ala)
Aib系列
半胱氨酸(Cys)
天冬氨酸(Asp)
谷氨酸(Glu)
苯丙氨酸(Phe)
甘氨酸(Gly)
组氨酸(His)
异亮氨酸(Ile)
赖氨酸(Lys)
亮氨酸(Leu)
甲硫氨酸(Met)
天冬酰胺(Asn)
脯氨酸(Pro)
谷氨酰胺(Gln)
精氨酸(Arg)
丝氨酸(Ser)
苏氨酸(Thr)
缬氨酸(Val)
色氨酸(Trp)
酪氨酸(Tyr)
鸟氨酸(Orn)
Dab系列
Dap系列
Pen系列
Homo氨基酸
其他非天然氨基酸
氨基酸及其保护基团
L型氨基酸
D型氨基酸
保护基团
多肽片段
二肽
伪二肽
三肽、四肽
多肽侧链
其他活性物质
肽合成用试剂
多肽合成用树脂
树脂类氨基酸
多肽合成链接物
缩合试剂
其他有机溶剂
PEG系列产品
Fmoc-PEG
Boc-PEG
Cbz-PEG
mPEG
NH2-PEG
Bis-PEG
Mal-PEG
Biotin-PEG
N3-PEG
Propargyl-PEG
SH-PEG
Acid-PEG
Tos-PEG
Br-PEG
Benzyl-PEG
OH-PEG
其他PEG
ADC链接子
合同定制
首页
关于我们
公司介绍
联系我们
加入我们
研米乐园
合同定制页代码
积分商城
客户账户
首页
全部商品分类
氨基酸及多肽片断
保护氨基酸
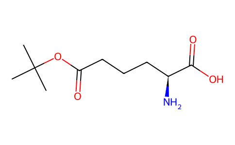
其他非天然氨基酸
Aad(OtBu)-OH
产品编号:
AAZ208
IUPAC名称:
(2S)-2-amino-6-[(2-methylpropan-2-yl)oxy]-6-oxohexanoic acid
CAS号:
201354-26-9
货号
包装
库存
产品单价
数量
AAZ208-250mg
250mg
询价
-
+
AAZ208-1g
1g
询价
-
+
AAZ208-5g
5g
询价
-
+
大包装询价?
批量询价?
收藏产品
加入购物车
产品介绍
产品问答
相关论文
技术文章
暂无产品介绍!
象形图
警示语
Class
警告声明
UNub
危险声明
Packing Group
暂无相关论文!
暂无技术文章!
技术资料
历史浏览记录
Aad(OtBu)-OH
CAS:201354-26-9
与它可能配套使用得产品
Boc-Ppa(tBu)2-OH
AAZ111
500mg
询价
Fmoc-Asu-OBzl
AAZ085
500mg
询价
H-Aad(OtBu)-OtBu.HCl
AAZ211
500mg
询价
Fmoc-Hph(4-CF3-3,5-F2)-OH
AAZ028
500mg
询价
Fmoc-D-Aad(OtBu)-OH
AAZ002
500mg
询价
H-Phe(3-methylsulfonyl)-OH
AAZ258
1g
询价
H-D-Val(3-OH)-OH
AAZ244
1g
询价
(R)-3-Amino-2-methylpropanoic acid.HCl
AAZ228
1g
询价
Boc-L-Pen(Trt)-OH
AAZ123
1g
询价
Boc-Sec(Mob)-OH
AAZ115
500mg
询价
Boc-D-2-Nal-OH; Boc-3-(2-Naphthyl)-D-Alanine
AAZ105
100g
询价
N-Fmoc-(R)-3-(methylamino)butanoic acid
AAZ068
1g
询价
Fmoc-Nva(vinyl)-OH
AAZ065
1g
询价
Fmoc-PNA-A(Bhoc)-OH
AAZ049
1g
询价
Fmoc-ThpGly-OH
AAZ039
100g
询价
Fmoc-L-Tic-OH
AAZ022
100g
询价
Fmoc-D-2-Nal-OH; Fmoc-3-(2-Naphthyl)-D-Alanine
AAZ016
100g
询价
(2R)-1-Fmoc-2-azetidinecarboxylic acid
AAZ261
100g
询价
×
大包装询价
产品名称
产品编号
CAS号
包装规格
纯度
数量
姓名
单位名称
电话
邮箱
备注
验证码
×
批量询价
标题
上传文件
(参考版)
下载
标题
上传文件
单位名称
电话
邮箱
备注
验证码
×
提交问题
标题
内容
0
购物车
在线咨询
2423710488
公众号
扫码关注公众号